

قسمت 2 - صفحه 129 تا 131 - تدریس آنلاین صفحه 129 تا 131 ریاضی چهارم | فصل 6 : چهار ضلعی ها


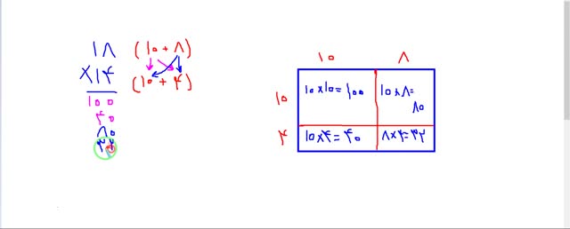
فیلم تدریس فعالیت و کار در کلاس ص. 58 | ضرب و تقسیم و محاسبه های تقریبی


فیلم تدریس فعالیت و کار در کلاس ص. 56 | تقریب رقم دهگان، صدگان و هزارگان


تدریس جمع و تفریق کسر ها با مخرج برابر روی شکل و محور


ویدئو آموزشی ریاضی چهارم دبستان | خط های عمود بر هم و حدس و ازمایش در به دست آوردن…


ویدیوی تدریس صفحه 135 تا 136 کتاب درسی ریاضی چهارم | محیط و مساحت


ویدئو آموزشی اندازه گیری طول و سطح و تبدیل واحدها


حل کاربرگ آموزشی | معرفی میلیون


ویدیوی آموزش مرور تقسیم پایه سوم ریاضی چهارم دبستان | حل مسئله با راهبرد الگوسازی،…


کلیپ آموزش تقسیم عدد 4 رقمی بر عدد یک رقمی به روش تکنیکی


تدریس آنلاین صفحه 51 تا 53 ریاضی چهارم | 6 آبان ساعت 16:45
موارد مشابه بیشتر
تدریس آنلاین صفحه 127 تا 128ریاضی چهارم | فصل 6 : چهار ضلعی ها
باز نشر محتواها در فضای مجازی، ممنوع است.