گاما رو نصب کن!

{{ number }}
اعلان ها
اعلان جدیدی وجود ندارد!
کاربر جدید

جستجو

پربازدیدها: #{{ tag.title }}

میتونی لایو بذاری!
  فرم معتبر نیست.

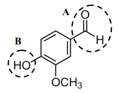
وانیلین یک ترکیب آلی است که از استخراج دانه‌های وانیل به دست می‌آید و به عنوان طعم‌دهنده در خوراکی‌ها، نوشیدنی‌ها و صنعت دارو به‌کار می‌رود.

الف) نام گروه‌های عاملی مشخص شده (A و B) در ساختار این ترکیب را بنویسید.
ب) فرمول مولکولی این ترکیب را بنویسید.
ج) آیا این ترکیب می‌تواند جزو آروماتیک‌ها باشد؟
د) این ترکیب سیرشده است یا سیرنشده؟ چرا؟

پاسخ تشریحی :
نمایش پاسخ

الف) A: آلدهیدی - B: هیدروکسیل
ب) ${C_8}{H_8}{O_3}$
ج) بله
د) سیرنشده - زیرا پیوندهای دوگانهٔ کربن - کربن دارد.

تحلیل ویدئویی تست

منتظریم اولین نفر تحلیلش کنه!

علی بشیرنژاد