فرم معتبر نیست.
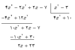
تقسیم مقابل را انجام دهید.
$4{{x}^{4}}-2{{x}^{2}}+2x-7\div {{x}^{2}}-3$
تحلیل ویدئویی تست
منتظریم اولین نفر تحلیلش کنه!
محتواهای آموزشی مشابه
فایل های پاورپوینت، ویدئو، صوتی، متنی و ...
پرسش و پاسخ های مشابه
سوال کنید یا به سوالات دیگران پاسخ دهید ...