گاما رو نصب کن!

{{ number }}
اعلان ها
اعلان جدیدی وجود ندارد!
کاربر جدید

جستجو

پربازدیدها: #{{ tag.title }}

میتونی لایو بذاری!
  لطفا ابتدا به حساب کاربری خود وارد شوید.

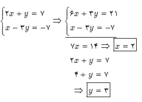
دستگاه معادلات خطی مقابل را حل کنید.

$\left\{ \begin{align}
  & 2x+y=7 \\ 
 & x-3y=-7 \\ 
\end{align} \right.$

پاسخ تشریحی :

تحلیل ویدئویی تست

منتظریم اولین نفر تحلیلش کنه!

محمد مدبر