گاما رو نصب کن!

{{ number }}
اعلان ها
اعلان جدیدی وجود ندارد!
کاربر جدید

جستجو

پربازدیدها: #{{ tag.title }}

میتونی لایو بذاری!

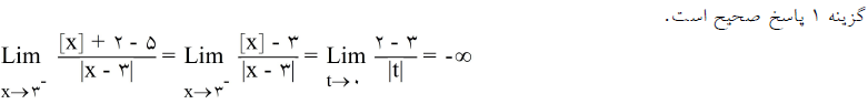
حدّ عبارت $\frac{\left[ x+2 \right]-5}{\left| x-3 \right|}$ وقتی $x\to {{3}^{-}}$ کدام است؟

1 ) 

$-\infty $

2 ) 

$+\infty $

3 ) 

صفر

4 ) 

1-

پاسخ تشریحی :

تحلیل ویدئویی تست

محمد ابراهیمی علویجه