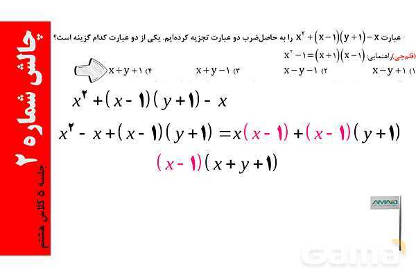
ساده کردن و تجزیه عبارتهای جبری، فاکتورگیری و حذف پرانتز
باز نشر محتواها در فضای مجازی، ممنوع است.
تعداد اسلاید ها : 15
باز نشر محتواها در فضای مجازی، ممنوع است.

