گاما رو نصب کن!

{{ number }}
اعلان ها
اعلان جدیدی وجود ندارد!
کاربر جدید

جستجو

پربازدیدها: #{{ tag.title }}

میتونی لایو بذاری!
  فرم معتبر نیست.

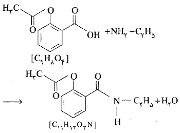
اگر $40$ گرم محلول آبی $4/5$ درصد جرمی آسپرین با مقدار کافی از اتیل آمین در شرایط مناسب واکنش دهد، چند گرم ترکیب آلی تشکیل می‌شود؟ $(C=12\,,\,H=1\,O=16\,N=14:g.mo{{l}^{-1}})$ 

1 ) 

$1/95$

2 ) 

$2/07$

3 ) 

$2/20$

4 ) 

$2/34$

پاسخ تشریحی :
نمایش پاسخ

آسپرین گروه عاملی کربوکسیل (اسیدی) دارد و در واکنش با آمین به آمید تبدیل می‌شود. معادله‌ی واکنش مورد نظر به‌صورت زیر است:

 $?gamide=40g{{C}_{9}}{{H}_{8}}{{O}_{4}}(aq)\times \frac{4/5g{{C}_{9}}{{H}_{8}}{{O}_{4}}}{100g{{C}_{9}}{{H}_{8}}{{O}_{4}}(aq)}\times \frac{1molamide}{1mol{{C}_{9}}{{H}_{8}}{{O}_{4}}}\times \frac{207gamide}{1molamide}=2/07gamide$ 

تحلیل ویدئویی تست

منتظریم اولین نفر تحلیلش کنه!