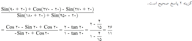
اگر $\tan {{20}^{{}^\circ }}=\frac{4}{15}$ باشد، حاصل $\frac{\sin {{110}^{{}^\circ }}+\cos {{250}^{{}^\circ }}-\sin {{290}^{{}^\circ }}}{\sin {{200}^{{}^\circ }}+\sin {{430}^{{}^\circ }}}$ کدام است؟
1 )
$\frac{17}{9}$
$\frac{26}{11}$
3 )
$\frac{24}{11}$
4 )
$\frac{20}{9}$
پاسخ تشریحی :
