

قسمت 1 - صفحه 2 تا 6 - فیلم حل کاربرگ الگوهای عددی ریاضی ششم: صفحه 1


قسمت 3 - صفحه 2 تا 6 - فیلم حل کاربرگ الگوهای عددی ریاضی ششم: صفحه 4


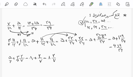
قسمت 4 - صفحه 2 تا 6 - فیلم حل کاربرگ الگوهای عددی ریاضی ششم: صفحه 5


قسمت 5 - صفحه 2 تا 6 - حل نمونه سوال اعداد زوج و فرد ریاضی ششم


قسمت 6 - صفحه 2 تا 6 - حل نمونه سوال مسائل صف ریاضی ششم


قسمت 7 - صفحه 2 تا 6 - حل نمونه سوال مضرب ها ریاضی ششم


قسمت 8 - صفحه 2 تا 6 - حل نمونه سوال الگوها ریاضی ششم


قسمت 9 - صفحه 2 تا 10 - تحلیل آزمون 20 مهر 1403 قلم چی ریاضی ششم | الگوهای عددی و عددنویسی


فیلم تقسیم اعشاری با تبدیل به کسر و ضرب در اعداد 10 ، 100 ، 1000 و ...


کلیپ ضرب عددهای اعشاری


حل کار در کلاس ص. 80 و فعالیت ص. 81 کتاب ریاضی ششم ابتدایی | مختصات یک شکل نسبت…


ویدیوی تدریس صفحۀ 66 تا 68 ریاضی ششم دبستان | درس 1: مرکز تقارن و تقارن مرکزی


تدریس ص. 28 ریاضی ششم دبستان | حل فعالیت و کاردرکلاس درس 2 ضرب کسرها


فیلم تدریس مجازی ریاضی ششم دبستان | درس 2: یادآوری ضرب و تقسیم


ویدیوی آموزش کتاب کار گاج ریاضی ششم دبستان | یادآوری عددنویسی


محاسبات کسرها (دور در دور - نزدیک در نزدیک)


آموزش سادۀ ضرب عدد اعشاری در عددهای 10، 100 و 1000 ریاضی ششم دبستان | درس 2: یادآوری…


فیلم تدریس ریاضی ششم ابتدائی | فصل 3: اعداد اعشاری (صفحه 45)
موارد مشابه بیشتر
فیلم حل کاربرگ الگوهای عددی ریاضی ششم: صفحه 2 و 3
باز نشر محتواها در فضای مجازی، ممنوع است.