گاما رو نصب کن!

{{ number }}
اعلان ها
اعلان جدیدی وجود ندارد!
کاربر جدید

جستجو

پربازدیدها: #{{ tag.title }}

میتونی لایو بذاری!
  لطفا ابتدا به حساب کاربری خود وارد شوید.

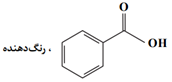
كدام‌يک از گزينه‌های زير ساختار بنزوئيک اسيد و كاربرد آن را به‌درستی نشان می‌دهد؟ 

1 ) 

2 ) 

3 ) 

4 ) 

تحلیل ویدئویی تست

منتظریم اولین نفر تحلیلش کنه!

کیان مرادی