گاما رو نصب کن!

{{ number }}
اعلان ها
اعلان جدیدی وجود ندارد!
کاربر جدید

جستجو

پربازدیدها: #{{ tag.title }}

میتونی لایو بذاری!
  فرم معتبر نیست.

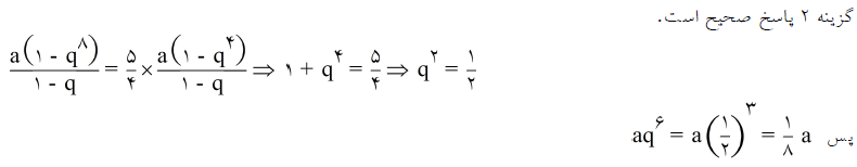
در یک دنباله‌ی هندسی، مجموع 8 جمله‌ی اول $\frac{5}{4}$ برابر مجموع 4 جمله‌ی اول است. جمله‌ی هفتم این تصاعد، چند برابر جمله‌ی اول آن است؟

1 ) 

$\frac{1}{4}$

2 ) 

$\frac{1}{8}$

3 ) 

$\frac{3}{8}$

4 ) 

$\frac{5}{8}$

پاسخ تشریحی :

تحلیل ویدئویی تست

حبیب هاشمی