گاما رو نصب کن!

{{ number }}
اعلان ها
اعلان جدیدی وجود ندارد!
کاربر جدید

جستجو

پربازدیدها: #{{ tag.title }}

میتونی لایو بذاری!

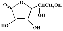
با توجه به ساختار مولکول ویتامین $C$ که نشان داده شده، کدام مطلب دربارهٔ آن درست است؟ $(H=1,C=12,O=16:g.mo{{l}^{-1}})$

1 ) 

فاقد گروه عاملی استری است.

2 ) 

بخش ناقطبی آن بر بخش قطبی آن غلبه دارد و در آب حل نمی‌شود.

3 ) 

نسبت شمار پیوندهای یگانه به شمار پیوندهای دوگانه بین اتم‌ها در آن، برابر 85 است.

4 ) 

شمار گروه‌های عاملی هیدروکسیل در مولکول آن، برابر شمار این گروه در مولکول اتیلن گلیکول است.

تحلیل ویدئویی تست

منتظریم اولین نفر تحلیلش کنه!