قسمت 8: هیدروکربنها (آلکانها، آلکنها، آلکینها و هیدروکربنهای حلقوی)
شیمی (2)
یازدهم
متوسطه دوم نظری
علوم تجربی
درسنامه آموزشی این مبحث
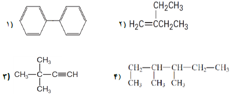
الف) فرمول مولکولی ترکیب شماره (1) را بنویسید.
ب) کدام مولکول جزء خانواده آلکینها است؟
ج) نام آیوپاک ترکیب شماره (4) را بنویسید.
د) ساختار 2- پنتن را رسم کنید.

پاسخ تشریحی :
تحلیل ویدئویی تست
منتظریم اولین نفر تحلیلش کنه!