گاما رو نصب کن!

{{ number }}
اعلان ها
اعلان جدیدی وجود ندارد!
کاربر جدید

جستجو

پربازدیدها: #{{ tag.title }}

میتونی لایو بذاری!

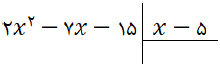
خارج قسمت و باقی‌مانده تقسیم زیر را مشخص کنید.

پاسخ تشریحی :
نمایش پاسخ

خارج قسمت: $2x + 3$
باقی مانده: 0

تحلیل ویدئویی تست

منتظریم اولین نفر تحلیلش کنه!

فرشته باقرنیا