گاما رو نصب کن!

{{ number }}
اعلان ها
اعلان جدیدی وجود ندارد!
کاربر جدید

جستجو

پربازدیدها: #{{ tag.title }}

میتونی لایو بذاری!
  فرم معتبر نیست.

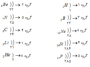
چند جفت از عناصر زیر، در یک گروه (ستون) قرار دارند؟

«$P - He - Si - Li - Ne - C - B - N - H - Be$»

1 ) 

2

2 ) 

3

3 ) 

4

4 ) 

5

پاسخ تشریحی :
نمایش پاسخ

تذکر: تعداد الکترون‌های مدار آخر هلیم 2 است، اما جزء گروه 8 است.

بنابراین با توجه به آرایش‌های الکترونی رسم شدهٔ H و Li در گروه اول، C و Si در گروه چهارم، N و P در گروه پنجم و He و Ne در گروه هشتم قرار می‌گیرند.

تحلیل ویدئویی تست

محمدرضا غفارزاده