فصل 1: آمار و احتمال
ریاضی و آمار (3)
دوازدهم
متوسطه دوم نظری
ادبیات و علوم انسانی
درسنامه آموزشی این مبحث
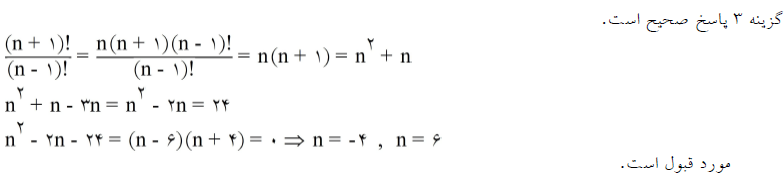
جواب معادله $\frac{\left( n+1 \right)!}{\left( n-1 \right)!}-3n=24$، کدام است؟