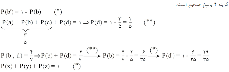
در فضای نمونهای $S=\left\{ a,b,c,d \right\}$، میدانیم $P=\left\{ a,b,c \right\}=\frac{3}{5}$ و $P\left\{ b,d \right\}=\frac{4}{7}$، حاصل $P\left( {{b}'} \right)$ کدام است؟
1 )
$\frac{5}{7}$
2 )
$\frac{6}{7}$
3 )
$\frac{28}{35}$
$\frac{29}{35}$
پاسخ تشریحی :
