گاما رو نصب کن!

{{ number }}
اعلان ها
اعلان جدیدی وجود ندارد!
کاربر جدید

جستجو

پربازدیدها: #{{ tag.title }}

میتونی لایو بذاری!

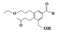
با توجه به ساختار داده شده پاسخ دهید.

الف) فرمول مولکولی این ترکیب را بنویسید.
ب) گروه‌های عاملی موجود در ترکیب را مشخص کرده و نام آن‌ها را بنویسید.

پاسخ تشریحی :
نمایش پاسخ

الف) ${C_{16}}{H_{24}}{O_4}$
ب) (شکل)

تحلیل ویدئویی تست

منتظریم اولین نفر تحلیلش کنه!

مرتضی اوحدی فر